
近期,122cc太阳成集团张王菲教授课题组完成的题为《基于GF-1数据的二阶段遥感特征优选与森林AGB反演模型》的研究在《林业科学》2025年正式发表。

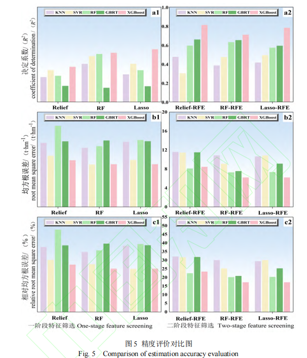
该研究基于国产高分一号(GF-1)卫星数据,提出了一种二阶段遥感特征优选方法,结合多种机器学习模型,对云南宜良县云南松纯林的地上生物量(AGB)进行精确估测。研究首先从GF-1数据中提取了44个遥感特征,包括波段光谱值、纹理特征和植被指数;第一阶段采用过滤式(Relief)、嵌入式(Lasso、随机森林RF)方法进行初步特征筛选;第二阶段利用包装式递归特征消除(RFE)方法进一步优化特征子集;最后采用K最近邻(KNN)、支持向量回归(SVR)、随机森林(RF)、梯度提升回归树(GBRT)和极限梯度提升树(XGBoost)五种模型进行AGB反演,并系统评估了不同特征选择方法与模型组合的估测性能。
研究表明,绿波段纹理特征(mea_b2)和蓝光波段光谱特征(b1)在多数模型中被选为核心特征。mea_b2能有效捕捉林冠结构和空间分布信息,b1对叶绿素敏感,可反映植被生长状态,二者对提升AGB估测精度具有显著贡献。


结果显示,Relief-RFE二阶特征选择方法结合XGBoost模型取得了最优的估测效果,其决定系数R2为0.811,均方根误差RMSE为8.45 t·hm⁻¹,相对均方根误差rRMSE为23.39%。

通过两阶段特征优选,所有五种机器学习模型的估测精度均得到提升,其中XGBoost模型表现最优,其估测精度显著高于KNN、SVR、RF和GBRT模型。研究还发现,二阶特征选择策略能有效减少特征冗余、增强模型稳健性,为高分辨率遥感数据在森林碳汇监测中的业务化应用提供了方法支撑。


综上,本研究提出的二阶段混合特征选择策略与XGBoost模型相结合,可构建高精度、高稳健性的森林AGB估算方法,为国产高分卫星数据在林业资源监测与碳汇评估中的推广应用提供了重要技术路径。
122cc太阳成集团杨菲菲为第一作者,张王菲教授为通信作者。
该研究获得国家自然科学基金(42161059、32371869、32160365、32471865)、云南省农业基础研究联合专项(202301B070001-058、202401B08070001-021)和云南省兴滇人才项目(YNWR-QNBJ-2019-146)的资助。
全文链接:
杨菲菲, 张王菲, 赵磊, 赵含, 姬永杰, 王梦金. 基于GF-1数据的二阶段遥感特征优选与森林AGB反演模型[J/OL]. 林业科学.
https://link.cnki.net/urlid/11.1908.s.20250117.1007.002
(图:杨菲菲 文:杨菲菲 一审:张王菲 二审:施蕊 三审:苏小冰)